러닝머신 하는 K-공대생
"이과생들 발작하는 짤"을 보고 왜 발작하지? 본문

인터넷 속 이과생들은 이걸 보고 왜 발작할까. 본인의 직관이 통하지 않을 것 같다는 추측만으로 발작하는 것인가? 발작을 하기 위해선 본인에 생각에 대한 논리적인 근거와 확신이 있어야 한다. 나는 직관만으론 확신이 들지 않는 타입이라 오랫만에 나도 발작을 해보고 싶어서 이를 물리적으로 검증해보려고 한다. 누구나 이해할 수 있도록 자세히 기술할 것이고, 이 글을 통해 추상적으로 보이는 문제를 정의하고 분석하는 능력을 키우길 기대한다.
쨋든 위 상황이 가능한지 확인하려면 다음의 상황이 가능한지 확인해보면 된다.
1. 언덕 살짝 옆에서 공을 아래로 던짐
2. 언덕 살짝 옆에서 제자리 위로 점프를 함
3. 점프하고 어느 순간에 충돌함
4. 충돌 이후 다시 상황3 에 도달함
1~4 과정이 가능함을 보이면 3~4 과정을 계속 반복함으로서 위 상황이 가능하다는 것을 확인해볼 수 있다. 이때 수평방향의 운동을 고려하지 않는 이유는 x 축 방향의 운동량 변화가 없고 일정하게 x축 방향 속력이 유지되는 상황이기 때문에 공과 사람의 수평방향 운동 속도와 동일하게 움직이고 있는 관찰자 입장에서만 봐도 충분하기 때문이다.
편의상 1, 2를 좀 나중에 논의하고 근본적으로 3, 4가 가능한지에 대해 먼저 논의해보겠다. 이것이 성립하지 않으면 애초에 불가능한 상황이기 때문이다.
먼저 점프하고 어느 순간에 충돌하는 상황3 을 분석해보겠다. 사람의 질량은 m1, 공의 질량은 m2 라 하자.
공을 던지고 점프하고 어느 순간에 충돌한다고 했으니, 충돌 직전 사람은 v1 < 0 으로 내려오고 있고, 공은 v2 > 0 로 올라오고 있다고 가정해보자. v1은 음수고 v2는 양수이니 당연히 충돌한다.

충돌시 에너지 보존이 된다고 가정하고 운동량이 보존되므로 충돌 이후의 사람의 속도를 v1', 공의 속도를 v2' 이라고 하면

가 성립하고, 연립방정식을 풀어주면 v1', v2' 을 다음과 같이 구할 수 있다.

이 충돌 이후 다시 상황 3에 도달할 수 있는지에 대해서 다뤄보자.

위 그림과 같이 충돌 이후, 사람은 위로 올라갔다 다시 내려오고, 공은 밑으로 내려갔다가 다시 위로 올라와서 다시 충돌을 하게된다. 이때 3의 상황과 같아지기 위해선 -v1' = v1 이고 -v2' = v2 의 조건이 성립해야 한다. 이를 이용해 다음과 같은 v1과 v2의 관계식을 얻을 수 있다.

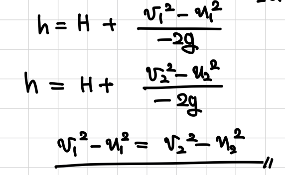
방금은 충돌 이후 다시 상황 3으로 가기 위한 속도 조건만을 분석한 것이고, 시간 조건을 분석하여 v1과 v2를 충돌하는 지점의 위치 h에 관한 함수로 표현할 수 있다. 사람이 충돌 (상황 3)이후 최고점에 도달하는 시간의 2배가 이후의 충돌까지의 걸리는 시간이고 상황 3 이후 물체가 바닥까지 도달하는 시간의 2배 또한 이후의 충돌까지의 걸리는 시간이므로 사람이 최고점의 도달하는 시간과 물체가 바닥에 도달하는 시간이 동일해야 한다.
사람이 최고점에 도달하는 시간은 다음과 같고,

물체가 바닥에 도달하는데 걸리는 시간을 t라 하면 다음을 만족한다.

t를 위 식에 대입하여 소거하면 v1과 v2를 h에 대한 함수로 구할 수 있다.

이제 상황 1, 상황 2 에서 상황 3으로 가는 과정이 가능한가를 확인해봐야 한다.

즉 높이 H에서 공을 아래로 u2 < 0로 던지고 사람은 위로 u1 > 0로 점프해서 이후 어느 순간 높이 h에서 충돌을 해야하며, 충돌 직전의 상황은 높이 h에서 사람은 v1 < 0 으로 떨어지고 있고 공은 v2 > 0로 올라가고 있는 있는 상황이 가능한지를 확인해야 한다. 이를 가능하게 하는 u1, u2가 존재하는지를 확인하면 이 과정이 가능하다는 것을 보일 수 있다.
u1, u2는 " 동일 시간에 충돌하기 위해 사람이 v1에 도달하는데 걸리는 시간과 공이 v2에 도달하는데 걸리는 시간이 동일해야 한다" 와 "동일 위치 h에서 충돌하기 위해 충돌 전 위치가 h로 동일하다" 라는 두 식을 연립하여 계산할 수 있으므로 위 두 조건을 통해 u1과 u2를 얻어내자.
먼저 동일 시간 조건을 고려해서 식을 얻어내겠다.
사람의 최고점 까지 도달하는데 걸리는 시간을 t1, 최고점에서 속도가 v1에 도달하는 데 걸리는 시간을 t2 라고 하면 다음과 같이 구할 수 있다.

공이 지면에 도달하는데 걸리는 시간을 t3, 지면에서 속도가 v2에 도달하는 데 걸리는 시간을 t4라 하면 다음과 같이 구할 수 있다.

t3는 2차 방정식을 풀면 양수여야 하므로 다음과 같고 t1, t2, t3, t4를 u1과 u2 에 대해 나타낼 수 있고 동일 시간 조건을 이용해 u1을 u2에 대해 표현할 수 있다.


이제 동일 위치 조건을 따져보자.

위와 같이 t1, t2, t3, t4 등을 이용해서 표현해도 되지만 형태가 복잡하여, 2as = v^2 - v0^2 을 이용하자. a = -g 이고 s 는 이동 변위이다. 각각 사람은 v = v1, v0 = u1 이고 공은 v = v2, v0 = u2 이므로 식을 쓰면 다음과 같다.

이제 u2에 대해서 표현한 u1을 위 식에 대입하여 u1과 u2를 직접 찾을 수 있을 것이다. 이를 풀려고 시도해봤지만 근데 이를 푸는 것은 꽤 복잡해보인다.

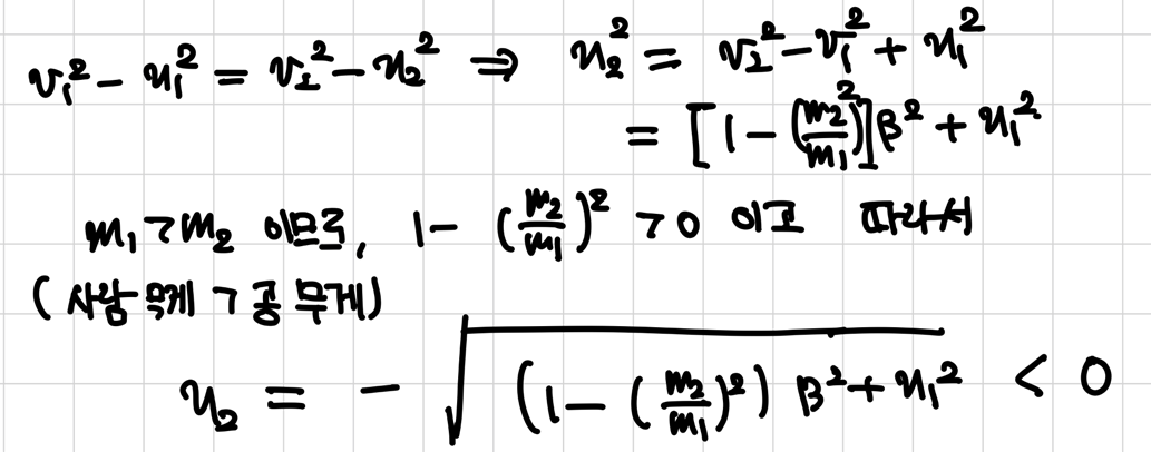
하지만 우리는 이전에 구한 2개의 u1, u2에 대한 식의 실수해가 존재하고, u1 > 0, u2 < 0 를 만족하기만 함을 보여도 충분하다. 먼저 다음 관계에 의해, u1 과 상관없이 u2 < 0 인 해가 무조건 존재한다. ( m1 > m2 이므로).

u2 < 0 인 해가 존재함을 확인했으므로 이때 u1 > 0 임을 확인할 수만 있다면 상황 1, 2로부터 상황 3으로 갈 수 있다는 점을 보일 수 있게 된다. 전에 유도한 u1을 u2에 대해서 표현한 식을 확인해보자.

u2 부분과 관련이 없는 상수 부분을 alpha로 쓰고,

이건 약간 테크닉적인 부분인데 임의로 u1 > 0 이라는 부등식을 세워서 <=>로 논리전개를 진행하고 이를 역으로 진행해 u1 > 0 임을 보일 것이다.

alpha + u2 >= 0 이면 이미 u1 > 0 이므로 alpha + u2 < 0 으로 가정했고, 또한 편의상 정한 alpha의 정의에 의해,
u1 > 0 이라는 명제는 다음과 동치이게 된다.

이때 u2 < 0 인 u2 에 대해서만 다루므로 alpha > 0 이기만 하면 u1 > 0 임을 보일 수 있고 alpha > 0 임을 비슷한 방법으로 보일 것이다.

즉, 위에서 alpha > 0 임을 보였고 최종적으로 u1 > 0 임을 확인할 수 있었다. 방금 진행한 내용을 정리하면 과정 1, 2 에서 과정 3으로 진행하는 것이 가능한가를 확인해보기 위해 연립방정식의 해 u1, u2가 존재하며 u1 > 0, u2 < 0 를 만족하여 물리적으로 말이 되어 과정 1, 2에서 과정 3으로 진행하는 것이 가능하다.
이로써 과정 1, 2, 3, 4를 모두 진행하는 것이 가능하다는 것을 확인했고 이과생들 발작하는 짤이 이론적으로 가능함을 확인해볼 수 있었다. 물론 실제 세상은 바닥과의 탄성계수가 1이 아니어서 튕기고 충돌할 때마다 위에서 구한 v1, v2가 계속 바뀌겠지만, 이를 고려한다고 해도 조금씩 h가 작아질 뿐 충분히 초기 조건을 잘 잡으면 저 공간 정도는 이론적으로 건너갈 수 있을 것이다. 혹시 주변에 이과생들에게 이 사진을 보여줬을 때 무지성 발작한다면 이과생의 자질을 의심해보자(아님 말고..)
감사합니다.
'잡담, 일상' 카테고리의 다른 글
| 대학에 온 후 생각 (4) | 2023.05.13 |
|---|---|
| 고샌애코티 1차 정모 후기 (곧 검열될 수도 있습니다) (2) | 2023.01.29 |
| 고양이샌즈애니코딩티스토리 모임을 위한 수원역 방탈출 정리 (0) | 2023.01.23 |
| 크리스마스의 기적 (4) | 2022.12.26 |
| 할 거 추천받습니다 (7) | 2022.12.07 |